欢迎访问 河南天健财税官方网站
客服热线:
(371)60986748
网站首页
关于天健
公司简介
发展历程
团队介绍
董事长致辞
核心优势
业务领域
审计服务
税务服务
评估服务
咨询服务
新闻中心
公司新闻
行业动态
财税前沿
客户服务
合作流程
品质承诺
人才招聘
典型案例
联系我们
当前位置:
首页
>
新闻资讯
>
行业动态
资讯类别
公司新闻
行业动态
财税前沿
图片新闻
河南天健20周年庆典暨2020新春年会
2020-02-03
阅读排行
1
注册会计师行业“十四五”发展规划:行业数字化转型取得新突破
2
凝聚突破 共建双赢
3
重温入党誓词 学习百年党史
4
河南天健财税开展“新收入准则”公益培训活动
5
10月1日起施行!郑州市物业管理条例公布,关系你我
6
伟大时刻 共同见证
7
深耕中原 助力发展
8
学习新思想 阔步新征程
9
全额返还 | 河南省总工会关于落实小微企业工会经费支持政策的实施意见
10
河南天健税务师事务所获第十一届全国税法知识竞赛(河南赛区)组织一等奖、陈琼杰同志获个人一等奖
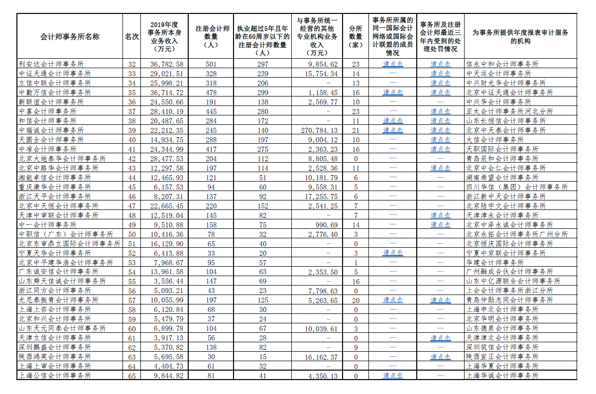
中国注册会计师协会发布《2019年度综合评价前100家会计师事务所信息》
2020/11/18 14:12:05
人评论
次
来源:中国注册会计师协会
《
2019
年度综合评价前
100
家会计师事务所信息
》
上一篇:没有了
下一篇:
2019年度税务师事务所“百强”
(371)60986748
(371)60986758
在线咨询
返回顶部